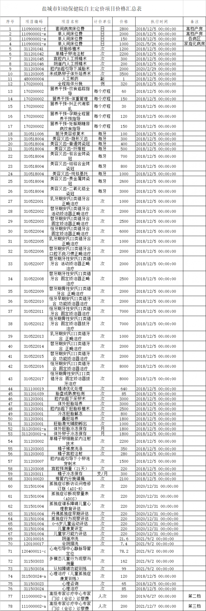
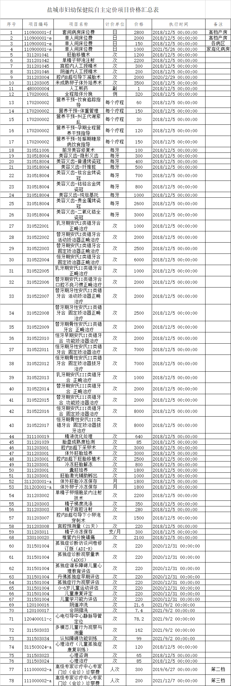
盐城市妇幼保健院特需医疗服务项目价格公示
  • 发布人:A_dmin789
  • 时间:2022-08-10
  • 点击:3315
  • 来源: